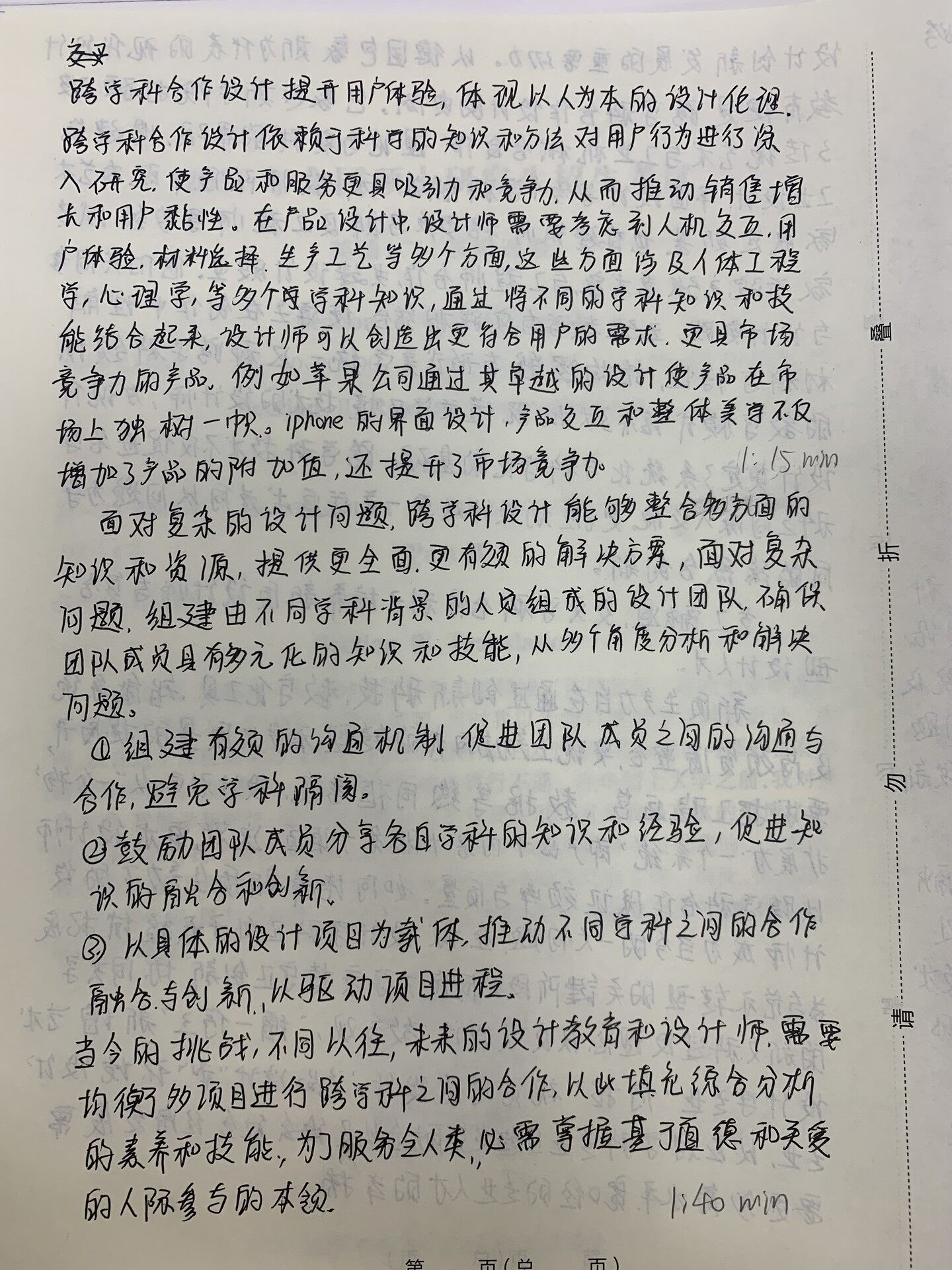
论述跨学科合作设计的必要性,结合热点谈谈如何通过跨 设 学科解决复杂性问题(30分) 考 总:跨学科设计定义+时代背景。 分:跨学科设计的必要性. 2 ①跨学科融合优势和创新思维、 ②培养新质设计师和复合型人才。 ③以人为本的设计伦理 总:当今挑战与设计师的职业转变 装 15mm 设计旨在引导创新,促发商业成功及提供更好的生活,是一种 订 将策略性解决问题的过程应用于产品、系统。服务,体验及商业网络 的设计活动,往往是一种跨学科活动。将创新、技术、商业、研究及 线 消费者紧密联系在一起,共同进行创造性活动,并将所需解决的问题 提出解决方案,进行可视化,重新解构问题,建立更好的产品,提供新 的价值及竞争优势。 伴随人工智能,互联网、三维打印等现代技术的发展,学科融 合正在不断渗透社会的文化、经济和人们生活的方方面面,社会对处 理各类综合性、复杂性设计问题的人才需求不断增长,在信息技术 发展的今天,艺术设计专业的学科体系也在不断更新和扩充,体 现出跨领域、跨学科的特点 30'm 跨学科合作设计融合优势创新思维:不同的学科能激 发创新思维,产生新的设计理念和方法。 在世界现代设计史的发展过程中,跨学科一直是推动 第 页(总 页)


